عضو تیم محصول صبا ایده ( فیلیمو)
چرا باید آزمایش Usability (کاربردپذیری) را اندازهگیری کرد؟

قبل از اینکه در رابطه با متریکهای کاربردپذیری و اهمیت آنها عمیقتر بشویم باید بدانیم که اگر میخواهید عمر استفاده از یک محصول بالا باشد باید روی سهولت استفاده از آن تا حد زیادی کار کنیم زیرا که کاربران رقبا را به شما ترجیح خواهندداد. به طورکلی سهولت یا قابل استفاده بودن یک محصول به کیفیت تجربه کاربر هنگام تعامل با محصول بر میگردد و این کیفیت تجربه خود بر محور سه متریک اثربخشی ، کارایی و رضایت کلی کاربر میچرخد.
برای اندازهگیری متریکهای کاربردپذیری از کجا شروع کنم؟
به طور طبیعی، سوالاتی که به ذهن خطور میکنند این است: "کدام متریک را باید استفاده کنم؟ چگونه میتوان اجزای مورد نیاز برای محاسبه آن را بدست آورد؟ آیا این متریکها به اندازه کافی قابل اعتماد هستند؟ خوب در راستای این سوالها، در این مقاله چند متریک کاربردپذیری را که براساس ISO(سازمان بین المللی استاندارد سازی) به شما معرفی میشود:
- اثربخشی(Effectiveness): اثربخشی این است که آیا کاربران میتوانند اهداف خود را با درجه بالایی از دقت کامل کند؟
- کارایی(Efficiency): این متریک نشان میدهد که کاربر چقدر سریع میتواند به هدف خودش در یک محصول برسد؟
- رضایت(Satisfaction): این متریک نشان میدهد که چقدر کاربر از کار کردن با سیستم مورد نظر ما رضایت دارد؟
- سهولت یادگیری(Ease of learning):. این متریک نشان می دهد که کاربرانی که برای اولین بار با برنامه کار میکنند با چه سرعتی میتوانند آن را یاد بگیرند.
- متریکهای کاربردپذیری برای اثربخشی(Effectiveness):
- نرختکمیل(Completion Rate)
- تعداد خطاها( Number of Errors)
نرختکمیل: اثربخشی را می توان با اندازه گیری نرختکمیل محاسبه کرد. درصورتی که شرکتکننده در آزمون موفق به انجام یک کار شود، میزان تکمیل با اختصاص مقدار باینری "1" محاسبه می شود.و اگر موفق نشود با اختصاص مقدار باینری”0” محاسبه میشود. با استفاده از فرمول ساده زیر میتوان اثربخشی را به صورت درصد نشان داد:

- Number of tasks completed successfully : تعداد تسک با موفقیت انجام شده
- Total number of tasks undertaken : تعداد کل وظایف انجام شده
نکته: اگرچه همیشه باید درصد تکمیل 100٪ را هدف قرار داد، اما طبق مطالعهای که توسط جف سارو(Jeff Sauro)براساس تجزیه و تحلیل 1100 نمونه تست انجام شدهاست ، میانگین نرخ اتمام یک سناریو و یا تست توسط کاربر تست 78٪ است.
مثال:
5 کاربر وظیفهای را انجام میدهند. در پایان جلسه آزمون، 3 کاربر موفق به رسیدن به هدف تسک میشوند در حالی که 2 نفر دیگر موفق نمیشوند. با استفاده از معادله بالا ، تأثیر کلی کاربر در سیستم به شرح زیر است:
- تعداد تسک با موفقیت انجام شده = 3
- تعداد کل وظایف انجام شده = 5
درج مقادیر در معادله اثربخشی:

مثال گرافیکی: همچنین به راحتی میتوان “نرخ تکمیل” را به صورت گرافیکی نشانداد ، به عنوان مثال؛ میتوان به صورت نمودار میلهای برای چند تسک در یک آزمایش نشان داد.

تعداد خطاها: اندازهگیری دیگر شامل شمارش تعداد خطاهایی است که شرکتکننده هنگام تلاش برای انجام یک کار مرتکب میشود. خطاها میتوانند اقدامات ناخواسته، لغزشها ، اشتباهات یا حذفیاتی باشند که کاربر هنگام انجام یک کار انجام میدهد. در حالت ایدهآل باید یک توصیف کوتاه و یک درجه شدت تعیین کنید و هر خطا را در گروه مربوطه طبقهبندی کنید. اگرچه ممکن است زمانبر باشد ، اما شمارش تعداد خطاها اطلاعات بسیار خوبی را ارایه میدهد.
نکته: بر اساس تجزیه و تحلیل 719وظیفه انجامشده با استفاده از یک نرمافزار،Jeff Sauro(مشاور کاربردپذیری به بیش از 1000 شرکت) نتیجه گرفت که میانگین تعداد خطاها در هر تسک 0.7 است ، از هر 3 کاربر 2 نفر خطا می کنند. فقط 10٪ از وظایف مشاهده شده بدون هیچ گونه خطایی انجام شدهاست، پس نتیجه میگیریم که اشتباه در هنگام انجام وظایف برای کاربران کاملاً طبیعی است.
متریکهای کاربردپذیری برای کارایی(Efficiency)
- کارایی مبتنی بر زمان(Time-Based Efficiency)
- کارایی نسبی کلی(Overall Relative Efficiency)
کارایی بر اساس زمان انجام تسک اندازهگیری میشود. یعنی چند دقیقه یا چند ثانیه برای انجام یک تسک طول میکشد. زمان صرف شده برای انجام یک کار را میتوان به سادگی با کسر زمان شروع از زمان پایان محاسبه کرد ، همانطور که در معادله زیر نشان داده شده است:
زمان کار = زمان پایان - زمان شروع
بازده را می توان به یکی از دو روش محاسبه کرد:
- کارایی مبتنی بر زمان

- تعریفN : تعداد کل وظایف
- تعریف R: تعداد کاربران
- تعریف nij: وظیفه i توسط کاربر j .اگر کاربر وظیفه را با موفقیت انجام دهد nij = 1 ،در غیر این صورت nij=0 میشود.
- تعریف tij: زمان صرف شده توسط کاربر j برای انجام وظیفه i . اگروظی با موفقیت انجام نشده باشد،
زمان تا لحظهای اندازه گیری می شود که کاربر وظیفه را ترک کند.
مثال:
فرض کنید 4 کاربر وجود دارند که از یک محصول برای انجام همان تسک مثال قبل استفاده می کنند . 3 کاربر موفق به تکمیل آن می شوند - به ترتیب 1 ، 2 و 3 ثانیه طول می کشد. کاربر چهارم 6 ثانیه طول می کشد و موفق به انجام تسک نمیشود و انصراف میدهد.
با توجه به معادله فوق:
N = تعداد کل وظایف = 1
R = تعداد کاربران = 4
کاربر 1: Nij = 1 و Tij = 1
کاربر 2: Nij = 1 و Tij = 2
کاربر 3: Nij = 1 و Tij = 3
کاربر 4: Nij = 0 و Tij = 6

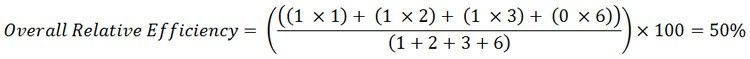
- کارایی نسبی کلی: راندمان نسبی کلی از نسبت زمان مصرفشده توسط کاربرانی که تسک را با موفقیت به اتمام رساندهاند نسبت به کل زمان گرفته شده توسط همه کاربران استفاده می کند. بنابراین می توان معادله را به صورت زیر نشان داد:

این معادله با جایگذاری اعداد راحت درک میشود.
مثال:
فرض کنید 4 کاربر وجود دارند که از همان محصول برای انجام همان تسک استفاده می کنند (1 کار). 3 کاربر موفق به تکمیل آن می شوند - به ترتیب 1 ، 2 و 3 ثانیه طول می کشد. کاربر چهارم 6 ثانیه طول می کشد و موفق به انجام تسک نمیشود و انصراف میدهد.
با توجه به معادله فوق:
N = تعداد کل وظایف = 1
R = تعداد کاربران = 4
کاربر 1: Nij = 1 و Tij = 1
کاربر 2: Nij = 1 و Tij = 2
کاربر 3: Nij = 1 و Tij = 3
کاربر 4: Nij = 0 و Tij = 6
جایگذاری اعداد:

معنای فیزیکی کارایی متخصص مبتنی بر زمان بالاترین سرعت ممکن در کار با محصول است.
کارایی را می توان از لحاظ گرافیکی به صورت نمودار میلهای نشان داد. مثال زیر نتیجه استفاده از معادله کارایی مبتنی بر زمان را برای 11 کاربر برای 5 وظیفه را نشان میدهد. از نمودار میلهای برای تمایز بین کارایی ثبت شده توسط کاربران برای بار اول در مقایسه با کاربران متخصص برای هر تسک استفاده میشود:

متریکهای کاربردپذیری برای رضایت(satisfaction)
رضایت کاربر از طریق پرسشنامه اندازهگیری میشود که میتواند بعد از هر کار و یا بعد از جلسه تست کاربردپذیری انجامشود.
سطح رضایت با چند سوال کوتاه: بعد از اینکه کاربران تست را انجام دادند، صرف نظر از اینکه آیا میتوانند به هدف خود برسند یا نه؟، بلافاصله باید به آنها یک پرسشنامه دادهشود تا میزان دشواری تسک اندازهگیریشود.
نام محبوبترین پرسشنامهها به شرح زیر است:
- ASQ: After Scenario Questionnaire (3 questions)
- NASA-TLX: NASA’s task load index is a measure of mental effort (5 questions)
- SMEQ: Subjective Mental Effort Questionnaire (1 question)
- UME: Usability Magnitude Estimation (1 question)
- SEQ: Single Ease Question (1 question)
در واقع از پرسشنامههای بالا برای سنجش میزان رضایت کاریر بعد از انجام تست استفاده میشود، به عنوان مثال؛ پرسشنامه ASQ شامل سه پرسش زیر است:

البته از لیست بالا پرسشنامه SEQ توصیه میشود،چون هم کوتاه و هم آسان است:

سطح رضایت با پرسشنامه: سطح آزمون با دادن یک پرسشنامه رسمی به هر یک از شرکتکنندگان در آزمون در پایان جلسه اندازهگیری میشود. این به منظور اندازهگیری برداشت آنها از سهولت استفاده کلی از سیستم مورد آزمایش است. برای این منظور میتوان از پرسشنامههای زیر استفادهکرد :
- SUS: System Usability Scale (10 questions)
- SUPR-Q: Standardized User Experience Percentile Rank Questionnaire (13 questions)
- CSUQ: Computer System Usability Questionnaire (19 questions)
- QUIS: Questionnaire For User Interaction Satisfaction (24 questions)
- SUMI: Software Usability Measurement Inventory (50 questions)
انتخاب از پرسشنامههای بالا بستگی به موارد زیر دارد:
- بودجه اختصاص یافته برای سنجش رضایت کاربر
- اهمیتی که رضایت ادراک شده کاربر در کل پروژه دارد
متریک سهولت یادگیری(Ease of learning):
بهترین روش برای سنجش سهولت یادگیری انجام یک تست در دفعات مختلف است.به این صورت که کاربر یک تسک مشخص را انجام میدهد و معیارهایی مثل مدت زمان انجام تسک و تعداد خطاهایش درحین انجام تسک ثبت میشود.و در یک روز دیگر کاربر باید همان تسک را دوباره انجام دهد و زمان انجام و تعداد خطا ثبت شود.این کار چند بار متوالی انجام میشود،اگر کاربر هر بار تسک را بهتر انجام دهد یعنی از تجربهی قبلی خود آموخته و اعدادی که ثبت شده است این میزان یادگیری را نمایش میدهند.که میتوان برای نمایش آن از نمودار استفاده کرد.
مثال:نمودار زمانی برای انجام یک تست
در نمودار ریر یک تسک 8 بار توسط کاربر انجام شده و زمانهای آن ثبت شده اند.

کلام آخر: در این مقاله سعی کردم که به شما به صورت سرفصل متریکها و انواع پرسشنامهها را معرفی کنم و در مقالههای بعدی هر کدام را با جزییات و مثالهای بیشتری برای شما توضیحخواهم داد.
مطلبی دیگر از این انتشارات
تلویزیون تجربهی کاربری، چطور به ما کمک میکند؟
مطلبی دیگر از این انتشارات
معرفی سیستم های Caching و استفاده آنها در آپارات
مطلبی دیگر از این انتشارات
نکتههای کاربردی برای تجربهنویسی در فلوی لغو اشتراک